Leave a Message

Thank you for your message. We will be in touch with you shortly.

What are the top 3 main real estate contingencies when purchasing a home?

What are the top 3 main real estate contingencies when purchasing a home?

  • Sandrine Deschaux
  • 02/27/23

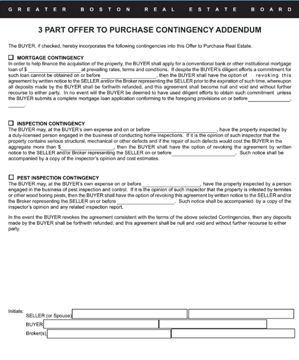
A buyer contingency is a condition or clause in a real estate purchase agreement that must be met before the sale can be completed. These contingencies help protect the buyer by giving them an opportunity to back out of the sale if certain conditions are not met. Here are some of the most common buyer contingencies and examples of how they are used.

1. The Financing or Mortgage Contingency

This contingency is a protection for buyers who need to secure a mortgage to purchase the property. The contingency states that the sale is contingent upon the buyer obtaining financing on terms acceptable to them. For example, if a buyer cannot secure a mortgage, they may have the right to back out of the sale.

Is a Mortgage Contingency Competitive in the current market?

There are several reasons why a mortgage contingency might be necessary for buyers:

    • It protects buyers from financial loss. If a buyer is unable to obtain financing, they may lose their deposit and incur other expenses related to the purchase, such as inspection costs. A mortgage contingency protects the buyer from this financial loss and allows them to back out of the sale if they are unable to secure financing.
    • It provides buyers with somewhat negotiating power. If a buyer is pre-approved for a mortgage but is unable to obtain financing on the terms outlined in the purchase agreement, sellers may be open to negotiate to get to a close rather than return to the market.

A mortgage contingency can be waived despite financing the property with a mortgage, but this can be a risky move as a bank commitment not only hinges on the borrowers’ qualifications but also on the property under consideration (Freddie Mae conditions and regulations, appraisal value, etc)

 

What is an appraisal Contingency? 

This contingency requires that the property appraise for a specific amount before the sale can be completed. If the property does not appraise for the agreed purchasing price amount, the buyer may have the right to back out of the sale or renegotiate the sale price. For example, if the buyer agreed to purchase the property for $400,000 and the appraisal comes in at $380,000, the buyer may have the right to renegotiate the sale price or back out of the sale.


Waiving the financing contingency automatically waives the appraisal contingency unless specified otherwise. The buyer may not necessarily have the cash to cover the discrepancy between the appraisal value and purchasing price, and if such the buyer is at risk of losing the deposit. It is a risky move. However, it is possible to add a cap onto how much the buyer is willing to cover in the event the appraisal contingency comes with a less than desirable outcome. Discuss this with your agent.

 

2. The Home Inspection Contingency

 This contingency allows the buyer to have the property inspected by a professional inspector. The inspection report will detail any problems with the property and the buyer can use this information to negotiate with the seller or to back out of the sale if they feel the property is not in the condition they were expecting. For example, if the inspection reveals a major problem with the roof, the buyer may want to back out of the sale, negotiate the repairs or simply ask the seller to fix the roof before the sale is completed.

Would contingencies make an offer less appealing in a competitive market?

In a competitive real estate market, buyers may feel pressure to make their offers more attractive to sellers by waiving contingencies, such as the inspection contingency. However, waiving the inspection contingency can be risky and may not be the best approach for all buyers, even in a competitive market.

While waiving the inspection contingency may make a buyer's offer more competitive, it also exposes the buyer to potential risks. Without an inspection contingency, the buyer may be responsible for any repairs or issues with the property, even if they are not aware of them at the time of purchase. This could lead to unexpected costs and potentially even larger problems down the line.

No Inspection Contingency? What’s the alternative?

In a competitive market, there are other ways that buyers can make their offers more attractive to sellers without waiving the inspection contingency. For example, buyers could offer a higher purchase price, a larger down payment, or a faster closing date. Buyers could also consider making a backup offer, which would allow them to step in if the primary offer falls through. There is also another option:  A Pre-offer inspection.

A pre-offer inspection is an inspection that is conducted by a buyer before making an offer on a property. During a pre-offer inspection, a licensed home inspector will examine the property for any defects or problems that may not be immediately visible to the untrained eye and the buyer can gain a better understanding of the condition of the property and can use this information to make a more informed offer. For example, if the inspection reveals significant repairs or issues that need to be addressed, the buyer may choose to either offer a lower purchase price or to include contingencies in the purchase agreement that require the seller to address the issues before the sale can be completed.

It's important to note that a pre-offer inspection is not a substitute for a full inspection that is conducted after the offer has been accepted. If the buyer's offer is accepted, a more detailed inspection should be conducted during the due diligence period to ensure that the property is in good condition and that there are no hidden issues that were not identified during the pre-offer inspection.

A pre-offer inspection is a valuable tool for buyers who want to gain a better understanding of the condition of a property before submitting an offer. By identifying potential issues early on, buyers can make more informed decisions about the purchase and can negotiate better terms in the purchase agreement.

3. The Condominium documents and Budget Reviewing Contingency

This contingency is a standard contingency to an offer to purchase of a condominium. If you are purchasing a condominium – which if you are purchasing a home In Cambridge is most likely as 80% of the Cambridge Sales are condominiums – you want to make sure the condo rules and regulations meet your needs. Condo documents specify the rental policy, the pet policy and the responsibilities of each owner within the condo association.

Listing agents may or may not make the documents available to the buyers prior to an offer. And when and if available, you may want to make sure you have the full package including budget, financial statements, floor plans, site plan and amendments.

 

 

 

4. Any other contingencies to consider?

It is up to you and your buyer agent to determine the level of contingencies before submitting an offer. Your offer can be subject as an example to the seller to install a washer & dryer, or to remove a shed, or replace a hot water tank, etc. Have this conversation with your buyer’s agent. 

Others can be:

  • The lead paint contingency - allowing the buyer to cancel the contract if lead-based paint or lead-based paint hazards are found. Any homes built before 1978 may contain lead. The property lead paint notification is mandatory in Massachusetts and any sellers are required to disclose to a prospective buyers whether they have knowledge of lead paint or /and have it been tested. Learn more about the Massachusetts Lead Law
  • The Rodents/ Pests inspection contingency - often part of the home inspection contingency.

 

Remember, a size does not fit all in real estate, for this reason, it's important for home buyers to carefully consider the potential risks and benefits of waiving contingencies and to work with a trusted real estate agent and a buyer’s agent who can help you make an informed decision based on your specific situation and needs. Our team of agents at Sandrine Deschaux + Co would walk you through all the contingencies and guide you through making an offer that best represents you. Contact Sandrine at 857.204.9872.

 

Follow Us on Instagram

It starts with a conversation

Sandrine Deschaux brings excellence to her work, advising her clients with honesty and integrity. She makes clients and friends for life, and hope to count you among her circle.